Discover the magic of learning by teaching.
 
It's an easy and fun way to support your child's learning.
Explore our collection of learning activities to do with your child. Each activity starts with a warm up and then asks your child to teach you the academic concept. This “learning-by-teaching” approach is considered one of the top eight learning strategies and has been proven to improve student’s comprehension and recall. It’s also loads of fun!
How does it work?
        Select an activity
Browse our math and English Language Arts (ELA) activities for grades K-8 and select one to do with your child. All activities are standards-aligned and are designed to be completed off-line.
      
        Warm up together
Complete the “Warm Up” with your child and practice a learning concept. You can offer praise for their learning strategies and ask questions along the way to check for understanding.
      
        Have your child teach you
In the “Learning-by-Teaching Step,” have your child teach you. Encourage them and try to connect what you’re learning to real-life experiences. But most importantly, just have fun.
      

Math Activities
Kindergarten
In this activity, you will help your child count from 0-10.

Materials / Preparation
Gather the following:
- 10 small objects (such as coins, cereal or Legos)
- A pencil and piece of paper
Warm Up
- Hold up all your fingers on both hands.
- Ask your child to count the number of fingers on each hand.
- Next, take down one finger on your right hand.
- Again, ask your child to count your fingers
- Repeat in descending order from 10 to 0 fingers.
Learning-by-Teaching Step
- On the top of a piece of paper, write the numbers 0, 1, 2, 3, 4, 5, 6, 7, 8, 9 and 10. Ask your child to trace each number:
- Below each number tracing, have your child write each number.
- Finally, ask your child to place a matching number of objects below each written number. For example, a student may place five (5) Lego pieces underneath the number five (5).

In this activity, you and your child will both identify and describe shapes as either 2D or 3D.
Materials/Preparation
- A Pencil and Two Pieces of Paper
Warm Up
Ask your child to:
- Describe the difference between a 2D (flat) shape and a 3D (solid) shape
- Find and identify a few 2D shapes in your home
- Find and identify a few 3D shapes in your home
Learning-by-Teaching Step
- Search your home for examples of both 2D shapes (such as magnets) and 3D shapes (such as an alarm clock).
- Take photos of at least one 2D shape and one 3D shape.
- Help your child label each shape. Each label should include:
 – 2D/3D
 – flat/solid
 – object’s name
- Have your child hold their label – and the object – in the photo(s).
 
 
First Grade
In this activity, you and your child will measure the lengths of objects in terms of “unit lengths,” by laying multiple copies of shorter objects end-to-end.
Warm Up
- Ask your child to look at the picture below and tell you how many paper clips long the pencil is.
- How many clothespins long is it?

Materials / Preparation
- Gather a pencil and two pieces of paper.
- Work with your child to choose 2 objects to measure (for example: scissors, a fork or spoon, a book, a shoe).
- Next, choose a set of smaller objects to measure the first. (For example: paperclips, blocks, playing cards, or almost anything you have multiple copies of). See photo above for ideas.
Learning-by-Teaching Step
- Work with your child to measure the first object.
- On a piece of paper, have your child write or dictate a sentence describing the length of the object. For example: “The pencil is 5 paperclips long.”
- Take a photo of the measured object, with the sentence.
- Repeat this process to measure the second object.
In this activity, you and your child will compare two-digit numbers using the terms and symbols for greater than (>), less than (<), and equal to (=).
Materials/Preparation
- Piece of Paper
- Pen or Pencil
Warm Up
Ask your child to explain how these symbols compare numbers:
- > (greater than)
- < (less than)
- = (equal to)
Ask your child how these base-ten blocks show us that 53 is greater than 28.
(Look back at the activities in the playlist if they need to review.)

Learning-by-Teaching Step
Work with your child to:
- Think of at least two real-world examples comparing 2, 2-digit numbers.
- Write down the examples, using symbols and words.
Here are two examples:
- Comparing today’s temperature of 33 degrees to a warmer temperature of 40 degrees on Friday
- Comparing your grandmother’s age to your brother’s age.
(Note: You can help your child write the sentences, or they can say them out loud and you can write them.)

Second Grade
In this activity, you and your child will create a picture graph. Then, you’ll create and answer questions based on the data you’ve graphed.
Materials / Preparation
- Pen or pencil
- Piece of Paper
Learning-by-Teaching Step
It’s time for you and your child to create your own picture graph, using things in your home, neighborhood, or family!
- Think of something that has up to 4 categories.
 Some examples:
 – Foods (fruits, cookies, eggs, bread slices)
 – Kitchen utencils (forks, spoons, knives, plates)
 – Clothing (shirts, pants, socks, shoes)
 – Toys (stuffed animals, dolls, board games, puzzles)
- Ask your child to draw the graph.
- Write a title for the graph at the top. Note to your child that they can use the same picture to represent items in each category, or use different ones.
- Once your child has created a picture graph, work together to think of 3 questions that you can answer with the data in the graph.
 For example:
 How many ____ are there?
 How many ___ altogether?
 How many more ____ than ____ are there?
- Write the 3 questions, and answer them.
Example of a picture graph and questions:

In this activity, you and your child will tell time using the minute and the hour hand on an analog clock.
Materials/Preparation
- Piece of Paper
- Pen or Pencil
- A bowl or lid (optional)
- Scissors (optional)
Warm Up
Ask your child to tell you what time it is for each clock below.

Learning-by-Teaching Step
Ask your child to choose a real time from their life (for example: bedtime, dinnertime, the time you wake up).
Option #1:
- Have your child draw an analog clock on a piece of paper to show the time
- Ask: what time does the hour hand tell you it is?
- Ask: what time does the minute hand tell you it is?
- Have your child write the time shown on the clock using a complete sentence. Provide support along the way as needed.
Option #2:
- Ask your child to draw and cut out both a minute and an hour hand to create an analog clock. Draw the clock face, then use a pencil as the minute hand; a crayon as the hour hand.
- Ask: what time does the hour hand tell you it is?
- Ask: what time does the minute hand tell you it is?
- Have them write the time shown on the clock using a complete sentence. Provide support along the way as needed.
- Together, create a time on an analog clock at least two times.

Third Grade
In this activity, your child will teach you how to measure household items, and how to round their values to the nearest ten (10) using a number line.

Materials / Preparation
- A pencil and piece of paper
- Three (3) household items to measure
- Ruler or tape measure (you can use the top of your thumb to measure one inch, or the long side of a cereal box to measure one foot)
- Scale or measuring cup
Warm Up
- Ask your child to show you how to round the number 17 to the nearest ten (10).
- Have them draw a number line, labeling the correct benchmarks at the ends, and the midpoint, to help you.
- Ask: why would you would round a number?
Learning-by-Teaching Step
Ask your child to measure each of the three (3) items. Have them write down the values in either inches (length), pounds (weight), or fluid ounces (volume).
- Measure length with a ruler (for example: shoe, hand, or book).
- Measure weight with a scale (for example: your weight, or your Family Partner’s weight).
- Measure volume with a measuring cup (for example: water, milk, or juice).
Ask your child to draw three (3) number lines on which to represent each measurement.
- Label the two (2) correct benchmark numbers at the ends.
- Label the midpoint.
- Draw arrows above the number representing your measurements.
- Circle the benchmark value (nearest ten) that your measurements round to.
Optional Challenge Question: What is 444 rounded to the nearest ten?
Example:

In this activity, you and your child will create equivalent fractions using either paper plates or drawings.
Materials/Preparation
- At least four paper plates or pieces of paper
- Crayons, colored pencils, markers
- Scissors
- A black marker, a pen, or a pencil

Warm Up
- Ask your child: how can a whole number be split into smaller, equal parts with a fraction?
- Have your child use the fraction strip picture above to help describe equivalency.
- Ask: describe how 1/2 is equal to 2/4? Can you explain how they are equivalent fractions?
- Ask your child to show you how 1/2 is equal in size to 2/4
Learning-by-Teaching Step
- Color four plates. Each plate must be a different color (example: blue, green, orange and gray).
- No paper plates? Draw four circles on a piece of paper, and color each one separately.
- Keep one plate (or circle) whole.
- Cut a plate in half. Mark each half with the fraction 1/2
- Cut another plate into fourths. Mark each fourth with the fraction 1/4
- Cut one more plate into eighths. Mark each eighth with the fraction 1/8

Together, arrange the plate halves, quarters and eighths to discuss the questions below:
- How many fourths are in 1/2?
- How many eighths are in 1/4?
- How many eighths are In 1/2?
- How many eighths are in 1 whole?
Arrange the plate pieces to show the answers to questions 1 – 4.
Write the equivalent fraction next to the plates on paper, or type them in.
Take photos of your plates, labeled with the equivalent fractions.
Example of #1: How many fourths are in 1/2?

.
Fourth Grade
In this activity, you and your child will create and solve a word problem in which you add or subtract fractions.
Materials / Preparation
- Pen or pencil
- Piece of Paper
Warm Up
- Ask your child to show you how they would answer the following problem: Mr. Salazar cut his son’s birthday cake into 8 equal pieces. Mr. Salazar, Mrs. Salazar, and the birthday boy each ate 1 piece of cake. What fraction of the cake was left?
- Have your child draw a visual representation to represent the fractions, and then ask them to show the math to solve it.
For example:

Learning-by-Teaching Step
Now it’s time for you and your child to come up with your own word problem! It should involve either adding or subtracting fractions with the same denominator. (Sample topics: cooking, telling time, money, measuring inches, cups, spoons, etc.)
- Write the word problem.
- Draw a picture to show it.
- Convert the word problem into a mathematical equation.
- Solve the problem together.
Example:

Optional Challenge Question: Marius combined 4/8 gallon of lemonade, 3/8 gallon of cranberry juice, and 6/8 gallon of sparkling water to make punch for a party. How many gallons of punch did he make in all?
In this activity, you and your child will apply your knowledge of expanded form to money.

Materials/Preparation
- Piece of Paper
- Pen or Pencil
- Items with prices listed on them OR a sales receipt from a store
Warm Up
- Ask your child to show you that when you write out sums of money, each place represents the number of cents.
- For example: $1.45 is equivalent to 145 cents.
- The 1 = 1 hundred
- The 4 = 4 tens
- The 5 = 5 ones
- So in expanded form, you could represent $1.45 as 100 + 40 + 5 cents.
Learning-by-Teaching Step
Together, find five items with prices on them. These can be items from the kitchen; books, newspapers, or magazines; or anything else. If you can’t find items with prices on them, use a sales receipt from a store.
For each item, enter:
- The name of the item
- The price in regular money form (using the dollar sign and decimal point)
- The price in expanded form representing the number of cents (see example above)
For Example:

Optional Challenge Question: Together, take the five numbers listed below and create the largest number possible and the smallest number possible. Write each in expanded form. Can you find any similarities between the numbers that you created?
Numbers: 1, 2, 5, 8, 9
- Largest possible number:
- In expanded form:
- Smallest possible number:
- In expanded form:
Fifth Grade
In this activity, you and your Family Partner will plot places in your neighborhood on a coordinate plane.
Materials / Preparation
- Pen or pencil
- Piece of graph paper
Warm Up
Teach your Family Partner how to draw a coordinate grid.
- Work with them to label the four quadrants and the x and y axes.
- The y-axis should represent north (up) and south (down).
- The x-axis should represent east (right) and west (left).
- With your Family Partner, plot your house at the origin.
- Then, plot 5 other places in your neighborhood that you visit often.
- Be sure to label the coordinates (x, y) of each location.
Below is an EXAMPLE. Please be creative and add your own personal flair!

Learning-by-Teaching Step
- With your Family Partner, describe the directions on how to get from your house to one of the locations on your coordinate plane.
- Then, describe the directions from that location to a second location.
- Finally, describe the directions from that second location to a third location.
- It may help to tell a story about your trip. For example, “I left home, walked five blocks north, then walked ten blocks west to Grandma’s house. After that, I walked ten blocks south, made a left, and walked two blocks east to the pharmacy.”
- In which quadrant did you plot the most locations? What are the signs of the coordinates in this quadrant? You can write these answers at the bottom of your graph.
In this activity, you and your Family Partner will practice multiplying fractions using a recipe.
Materials/Preparation
- Piece of Paper
- Pen or Pencil
- A recipe – either from your kitchen, a cookbook, or the Internet. The recipe should contain fractional amounts.
Warm Up
Ask your Family Partner to multiple 1/2 by 1/3.
- Did they do it correctly?
- If not, walk them through the steps of how to multiply two fractions.
Learning-by-Teaching Step
- Grab your pencil and paper. Draw a table like the one for the sample recipe below.
- Now, take the recipe you found with your Family Partner and fill in the table together.
- Enter the ingredients for your recipe in the first column.
- Enter the measurements from your recipe in the second column.
- Now, modify your recipe by multiplying your measurements by 1/2, 3/4, and 2. Fill in the results in the rest of the table. Show your multiplication .
- Column 3: Multiply your measurements by 1/2
- Column 4: Multiply your measurements by 3/4
- Column 5: Multiply your measurements by 2

Optional Challenge Question: For the last 3 weeks, you have read for 1 ½ hours each day, 3 days a week. How many hours have you read altogether during the 3 weeks? If you keep this schedule for 5 weeks, how many hours will you have read altogether?
Sixth Grade
In this activity, you and your child will practice calculating rates.
Materials / Preparation
- Two pens or pencils
- Two pieces of paper
- Timer on your phone
Warm Up
Ask your child to explain how to solve the following problem: On a road trip, Karen drove 434 miles in 7 hours. What was her average rate of speed per hour?
(The answer should 62.)
Learning-by-Teaching Step
First, ask your child to copy this table onto a piece of paper.

Activity 1: Jumping Jacks
- Set the timer on your phone for 1 minute (60 seconds).
- Once the timer is started, you and your child should do as many jumping jacks as you can before 1 minute is up. Be sure to count!
- Write down the number of jumping jacks you and your child did in the first empty column of the table.
- Calculate the rate per minute of jumping jacks you each performed and enter it into the second empty column.
- Whose rate of doing jumping jacks was higher? What does that mean?
Activity 2: Words that start with the letter M
- Reset the timer for 2 minutes (120 seconds).
- Once the timer is started, you and your child should each write down as many words as you can think of that start with the letter M before the time is up.
- Write down the number of words that start with M that you and your Family Partner wrote down in the third empty column of the table.
- Calculate the rate per minute of the words you each wrote down, and enter it into the last empty column.
- Remember, you recorded the number of Words that Start with M for 2 minutes!
Optional Challenge Question: If you both continued performing at the same rate, how many jumping jacks would you each do in 5 minutes? How many words would you write in 5 minutes?
In this activity, you and your child will practice finding the mean, median, and mode of a set of numbers.
Materials/Preparation
- Piece of Paper
- Pen or Pencil
- Deck of playing cards – *if you don’t have playing cards, you can use this tool to generate random numbers
- Calculator (optional)
Warm Up
Look at this picture together.

Ask your child to explain what mean is.
- Mean is the average of the numbers. To obtain it, you add the numbers together, and divide by the number of cards: 8 + 9 + 4 + 5 + 9 = 35. So the mean is 35/5, or 7.
Next, ask them to explain that the median is the middle number in the set.
- Place the cards in order, and you’ll get 4, 5, 8, 9, and 9. The middle number of this set is 8.
Finally, ask your child to explain what the mode is.
- The mode is the number that appears most often. The number 8 appears twice, so the mode is also 8.
Learning-by-Teaching Step
- Grab your deck of cards, and make sure they’re shuffled! If you don’t have cards on hand, use this random number generator, and hit this button repeatedly to generate seven numbers.
- Pick 7 cards and turn them face-up.
- Let aces represent 1, and face cards represent 10.
- Then, grab your pencil (or calculator) and ask your child to find the mean, median, and mode of the set you’ve just created!
For example, if these were your 7 cards:

- Mean: 7 + 3 + 7 + 10 + 8 + 1 + 2 = 38
 38/7 = 5.43
- Median: When the cards are placed in ascending order, they are:
 1, 2, 3, 7, 7, 8, 10
 So the median is 7.
- Mode: 7 appears twice, so the mode is also 7.
Seventh Grade
In this activity, you and your child will practice creating tree diagrams to help find the probability of compound events.
Materials / Preparation
- Pen or pencil
- Piece of paper
Warm Up
- The following tree diagram represents the probability of the four possible birth outcomes for a family with two children. “G” stands for “girl,” and “B” stands for “boy.”
- Ask your child to explain the diagram. Reminder: see if they can explain how there’s an equal probability – 1/4 – of each outcome.

Learning-by-Teaching Step
You’re probably familiar with the game Rock, Paper, Scissors. It’s often used as a way to make a decision. Rock, Paper, Scissors involves two players and therefore represents a compound event.

- Play Rock, Paper, Scissors with your child.
- Ask: what are the various outcomes that can result from this game?
- Together, make a tree diagram to figure out the outcomes. Ask your child to explain the process involved in making your tree diagram.
- Then, write down the probability that a single game of Rock, Paper, Scissors will result in a tie.
Game play is as follows:
- Both players ball their hand into a fist.
- One player places their other hand with the palm flat out and hits their fist against the palm three times as they say “Rock, Paper, Scissors.”
- After the third strike of the palm, both players throw their fisted hand out in front of them in the shape of either a rock (closed fist), paper (open hand with palm facing down), or scissors (pointer and middle finger open with the rest of the fingers closed).
The winner of the game is determined as follows:
- Scissors beats paper because scissors cut paper.
- Paper beats rock because paper covers rock.
- Rock beats scissors because rock crushes scissors.
- Showing the same item results in a tie.
Optional Challenge Question: Play several rounds of Rock, Paper, Scissors with your child and record the results. How close do those results correlate with the actual probability of the same results?
In this activity, you and your child will compare the cost of strawberries at different stores.
Materials/Preparation
- Piece of Paper
- Pen or Pencil
Warm Up
- Ask your child to explain what a unit rate is.
- Then have them explain how they would calculate the unit rate in miles per gallon for a car that traveled 188 miles using 9 1/2 gallons of gas.
- NOTE: Your child does not need to actually calculate the unit rate, just ask them to explain what they would do and why.
Learning-by-Teaching Step
Strawberries are available year-round in most grocery stores. In the spring and summer you can also find them at farmers markets.
The table below shows the weights of two containers of strawberries, and the prices for those containers.

- Ask you child to copy and complete the table on a sheet of paper.
- Have them show their work underneath the table. Remember to round to the nearest cent.
- Ask them to write a sentence explaining where they would choose to shop to buy strawberries and why.

Optional Challenge Question: Have your child make up their own problem to compare unit rates with fractions and decimals. Then, work together to try to solve it.
Eighth Grade
In this activity, you and your child will practice finding the volumes of cylinders and cones.
Materials / Preparation
- Pen or pencil
- A newspaper, magazine, letter, or other piece of printed material
Warm Up
You can’t find the volume of a cylinder or cone without knowing how to find the area of a circle. So ask your child to show you how to calculate the area of a circle with a radius of 4 cm.
Learning-by-Teaching Step
- You’re having an ice cream party. You bought several boxes of ice cream cones. Each cone has a diameter of 2 inches, and a height of 6 inches.
- You buy a big container of ice cream that’s the shape of a cylinder with a diameter of 6 inches, and a height of 10 inches.

Ask your child the following three questions. Have your child explain the steps they took to determine each answer and share whether or not you agree!
- Ask your child: what is the volume of the ice cream cone (only filled to the top of the cone)?
- Ask: what is the volume of the ice cream container?
- Ask: how many of the ice cream cones will your container of ice cream fill completely?
Optional Challenge Question: You only plan to invite 20 people to your party, so you decide to give each person an additional scoop of ice cream on top of each filled cone.
- How much ice cream could a cone hold if you decide to give everyone a second scoop? Imagine that each scoop is a sphere with a diameter of 2 inches.
- Find the volume of a spherical ice cream scoop with a diameter of 2 inches. (Round to the nearest hundredth.)
- Find the total volume of the filled cone with an additional ice cream scoop on top.
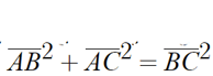
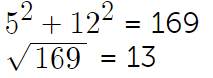
In this activity, you and your child will use the Pythagorean Theorem to find distances on the coordinate plane.
Materials/Preparation
- Piece of Graph Paper
- Pen or Pencil
Warm Up
Together, look at the following image:

- Ask your child to explain how to calculate the distance between point A and point B. The answer is 6 units.
- Ask your child to explain how to calculate the distance between point A and point C. The answer is 2 units.
- Finally, explain how you can figure out the distance from point B to point C by using the Pythagorean Theorem.
 
Learning-by-Teaching Step
Now it’s time to draw a map!
- On a piece of graph paper, have your child plot three places that you visit frequently.
- Each square on the graph should represent one block.
- Make sure the three places form a right triangle.
- Write down the distances of the two shorter sides.
- Then, calculate the distance of the hypotenuse.

- Distance from home to school: 5 blocks
- Distance from home to the park: 12 blocks 
- The distance from school to the park is 13 blocks.
Optional Challenge Question: Imagine that there’s a grocery store at point (7, 2). Is the triangle formed by your home, the park, and the grocery store a right triangle? Why or why not?


English Language Arts Activities
Kindergarten
In this activity, you and your child will practice asking questions using the question words who, what, where, when, why, and how.

Materials / Preparation
- Pen or pencil
- Piece of Paper
Warm Up
- Ask your child to give an example of a sentence that is a question. (For example: What is your name?)
- Ask them if the sentence begins with any of the question words listed above. Which one?

Learning-by-Teaching Step
It’s time for your child to interview you! Sit down with your child, and have them ask you 6 questions, each starting with a different one of the question words:
- Who
- What
- Where
- When
- Why
- How
As they ask each question, you should write and underline the question word at the beginning of the sentence, and then write the rest of the sentence. After they ask the question, you should answer it verbally. Then, write your answer below the question. Continue until you complete the interview with all 6 questions.
In this activity, you and your child will practice recognizing rhyming words (words that sound the same at the end).
Materials / Preparation
- Pen or pencil
- Piece of Paper
Warm Up
Look at the following two sets of words with your child.
In each set, ask your child to:
- Say the words out loud.
- Point out which two words rhyme.

Learning-by-Teaching Step
Now it’s time for you and your child to build a rhyming word ladder!
- Pick one of the words from the “Warm Up” above, and write it at the bottom of a piece of paper.
- Read it aloud, and ask your child to think of a word that rhymes with it. Write your child’s word directly above it.
- After that, it’s your turn to write another rhyming word.
- Keep going until you can’t think of any more.
First Grade
In this activity, you and your child will discover adjectives in your everyday lives.
Materials / Preparation
- Two Pens or Pencils
- Two Pieces of Paper
Warm Up
Adjectives are words that describe nouns (people, places, and things). For example, in the sentence, “I have a blue ball,” blue is the adjective that describes the ball, which is a noun.
- Ask your child to think of one of their favorite foods.
- Now have them have them think of at least 3 adjectives that describe that food. For example, if their favorite food is an apple, their adjectives could be sweet, red, and juicy.
- Do the same activity with you telling your child your favorite food, and 3 adjectives that describe it.
- Now repeat the activity with another favorite food, but make it into a guessing game!
- Have them tell you 3 adjectives, and see if you can guess the food.

Learning-by-Teaching Step
It’s time for you and your child to write some short adjective poems about each other!
- Each of you should take one of the pieces of paper and a pencil or pen.
- Have your child write your name at the top of their paper.
- Next, have them think of at least 3 adjectives to describe you, or parts of you.
- Help them write down the adjectives on their paper. For example: kind, fun, curly (hair)
- Now it’s your turn. Write your child’s name at the top of your paper, and list at least 3 adjectives describing your child.
- Have your child write, or dictate, 3 sentences about you, using the adjectives they thought of, or others.
- Write each sentence on a separate line.
- Underline the adjectives in each sentence.
- Now you do the same. Write 3 sentences, each on a different line, using adjectives to describe your child.

In this activity, you and your child will practice writing complete sentences.
Materials / Preparation
- Pen or pencil
- Piece of Paper
Warm Up
- Ask your child to name two key features of a sentence.
- They should tell you that every sentence must begin with a capital letter.
- Then, they should tell you that every sentence should end with a period, question mark, or exclamation point.
- Ask them to fix the following sentences. You can help them write if you like.
I can’t find my cat
where did she go?
she’s not hiding under the couch
there she is!
She’s sleeping on the bed

Learning-by-Teaching Step
- Ask your child to write three sentences about their favorite animal. You can help them write if they need it.
- When they’ve finished, ask them to underline the capital letter at the start of the sentence, and the punctuation mark at the end.
See the below example.

Second Grade
In this activity, you and your child will go on a word hunt!
Materials / Preparation
- Pen, pencil, markers, or crayons
- Piece of paper
- Your cellphone camera
Warm Up
- Have your child read the following words out loud to you: Crook, School, Brook, Fool
- Ask them to explain which words make the short “oo” sound, and which ones make the long “oo” sound.

Now it’s time to go on a word hunt!
- With your child, search your home for something whose name contains a long “oo” sound.
- Then, search for something whose name contains a short “oo” sound.
- Write the name of each object on an index card or piece of paper.
- Make sure to write which sound your word makes: short “oo” or long “oo”!
- Then take a photo of each object.
- If you can’t find an object, draw a picture!
Here are some examples of words you might find around the house – or might be easy to draw!
- Hook
- Boot
- Hood
- Hoop
- Book
- Spoon
- Wood
- Moon
- Stood
See additional examples below.
 
 
In this activity, you and your child will practice forming contractions.
Materials / Preparation
- A pencil
- A piece of paper
- Crayons, markers, or colored pencils (optional)
Warm Up
- Ask your child to read the following sentences aloud.
- Have them substitute the correct contraction for each pair of bolded words.
- My older brother would not take me to the pool.
- He did not want to go, because he can not swim.
- “That is ok,” I said. “You do not have to go in.”
- “Fine,” he said. “I will take you.”

Learning-by-Teaching Step
In the “Warm Up” section above, you read a story made up of just a few sentences. Now it’s time to create one of your own!
- Write three sentences that tell a story. Make sure each sentence has at least one contraction in it.
- Underline the contractions.
- Write the two words that make up the contraction.
- Draw or take a picture to illustrate your story! (optional)
See the below example.

Third Grade
In this activity, you and your child will practice identifying capital letters.
Materials / Preparation
- Pen or pencil
- A newspaper, magazine, letter, or other piece of printed material
Warm Up
- Ask your child to explain two situations where you need to use capital letters.
- Then, name two more situations where capital letters are necessary.
Learning-by-Teaching Step
Be an editor! Find a newspaper, magazine, letter, flier, advertisement, or some other piece of printed material.
With your child, go through the printed material and circle:
- a capital letter at the beginning of a sentence
- a capital letter at the beginning of the name of a person or place
- a capital letter at the beginning of a day or date.
Take a picture of your work!

In this activity, you and your child will practice and record reading a poem out loud!
Materials/Preparation
- Piece of Paper
- Pen or Pencil
Warm Up
- Have your child read the following three-line poem out loud.
- Tip: try to encourage them to keep the rhythm when reading aloud.
- Ask your child to think about how to stress the two rhyming words: snow and go
- Share how they did!

Learning-by-Teaching Step
Now it’s time to read a longer poem: The Homework Machine
- Prepare: Read through the poem below to understand it.
- Take your time to figure out the rhythm.
- If you’d like, you can listen to the poem read aloud via this YouTube Video. *You don’t have to read it the same way – feel free to put your own spin on it!
- Practice: Have your child read the poem out loud once or twice.
- Share feedback on how they did and advice on how they can improve.
- Record: When you’re both ready, record a video of your child reading the poem.

Fourth Grade
In this activity, you and your child will summarize a story.
Materials / Preparation
- Pen or Pencil
- Piece of Paper
Warm Up
Tell your child a story about a memorable experience you have had. For example, it could be about a time you visited an interesting place, learned something new, or made a friend. Include many details about the event. Ask your child to listen carefully, and take notes on a sheet of paper.

Learning-by-Teaching Step
- Have your child type a summary of your story using 3 sentences or less. Remember, a summary is a brief retelling of something that focuses on the main idea.
- Review the summary together and ask, “Does this summary capture the main idea of the story?”
- Family Partner, write a brief note at the end of the summary about whether or not it captured the main idea.
In this activity, you and your child will create a graphic to illustrate a weather report.
Materials / Preparation
- Pen or Pencil
- Piece of Paper
- Crayons, Markers, or Colored Pencils
Warm Up
Text features such as tables, charts, graphs, diagrams, pictures, and timelines support readers by making information visual. Read the weather report below. While reading, think about a visual that would help the reader more easily understand the information in the text.
- Weather Report: The temperatures this week are going up, up, and up! On Monday, it will be partly cloudy at 76 degrees. Tuesday will be hot and humid with a high temperature of 78 degrees. Wednesday will be more of the same with a high temperature of 85 degrees. Take an umbrella on Thursday with heavy rains and a temperature of 83 degrees. Friday, look for sunshine to return as a heat wave raises temperatures to 90 degrees for Friday, Saturday, and Sunday.

Learning-by-Teaching Step
- Work with your child to create a visual that adds meaning to the text.
- Underneath your visual, ask your child to write one or two sentences explaining how your visual might help the reader more easily understand the information.
Fifth Grade
In this activity, you and your child will explore the meaning of a number of idioms.
Materials / Preparation
- Pen or Pencil
- Piece of Paper
- [Optional] Crayons, Markers, or Colored Pencils
Warm Up
- First, ask your child to explain what an idiom is.
- Then, have your child read through the list below. Together, discuss the meaning of each idiom.
- barking up the wrong tree
- paint yourself in a corner
- the ball is in your court
- bite off more than you can chew
- cry over spilt milk
- hit the nail on the head
- raining cats and dogs

Learning-by-Teaching Step
- Have your child choose their favorite idiom from the list. Talk about the literal, or exact, meaning of the words within the idiom.
- Ask your child to draw a picture of the literal meaning of the phrase.
- Then, ask them to draw a picture of the metaphorical meaning of the idiom.
- At the bottom of the drawings, use the idiom in a sentence about your family.
In this activity, you and your child will prepare a short speech on a topic of your choice.
Materials / Preparation
- Pen or Pencil
- Piece of Paper
Warm Up
Choose a topic that interests you from the list below. Or, make your own topic.
- Fashion Tips for Hamsters
- Trampoline Hockey: The Latest Sport Craze
- Surviving 5th Grade
Have your child write a short speech about the topic and then deliver it. Remind them to use descriptive details to support their main ideas. Before their speech, ask them to focus on their volume, pace, expression, body language, eye contact, and preparedness.

Learning-by-Teaching Step
After the speech, provide feedback to your child on the components below.
- Volume
- Pace
- Expression
- Body Language
- Eye Contact
- Preparedness
Sixth Grade
In this activity, you and your child will explore theme.
Materials / Preparation
- Pen or Pencil
- Piece of Paper
Warm Up
Ask your child to explain theme. A story’s theme is an underlying message, big idea, or universal statement the author is trying to convey. Read the examples below.
- Name: Michael Jordan
- Theme: Never give up.
- Explanation: Michael Jordan missed over 9,000 shots in his career. He missed the game-winning shot 26 times. Yet, he is known today as one of the best basketball players of all time.

- Name: Jane Goodall
- Theme: Be compassionate.
- Explanation: Jane Goodall studies chimpanzees in the wild and shares her learning with the world. She has spoken against the inhumane treatment of animals in research, and she continues to educate people, including children, about ethical treatment of animals.

Learning-by-Teaching Step
- Ask your child: think about someone in your family, a friend, a role model, or someone famous. If there were a book written about their life, what theme would best represent their life story?
- With your child, write their name and the theme you think best represents their life story. In two or three sentences, explain why you chose that theme.
In this activity, you and your child will practice using pronouns.
Materials / Preparation
- Pen or Pencil
- Piece of Paper
Warm Up
Ask your child to explain what pronouns are. Pronouns are words that can replace nouns in sentences.
- For example, read this passage: “Mrs. Harrison was a great teacher. Mrs. Harrison loved teaching about dinosaurs because of Mrs. Harrison’s background in paleontology.”
- Ask your child to replace two of the words in the second sentence with pronouns.
The response should be: “Mrs. Harrison was a great teacher. She loved teaching about dinosaurs because of her background in paleontology.” The pronouns “she” and “her” make the sentences easier to read and understand while making the writing less repetitive.

Learning-by-Teaching Step
Talk with your child about an activity you did this past week. Have your child type a letter to their teacher about it. Ask them to: include at least 5 different pronouns in the letter, and underline each pronoun. Some examples of pronouns might be: it, he, they, she, them, her, him.
Seventh Grade
In this activity, you and your child will discuss the connotative meanings of different words.
Materials / Preparation
- Pen or Pencil
- Piece of Paper
- [Optional] Crayons, Markers, or Colored Pencils
Warm Up
Ask your child to read the words below. As they read each pair of words, discuss the connotation of each one. Make note of whether it has a positive or negative connotation.
- home, shack
- hyper, enthusiastic
- scrawny, lean
- cheap, frugal
- unique, weird
- smile, smirk
Learning-by-Teaching Step
Together, pick one of the word pairs.
Write two short stories: one using the word with the positive connotation, and the other using the word with the negative connotation.
Example:
- Word Pair: confident, egotistical
- Positive Story: Sara was a hard-working softball player. She always gave 100 percent and often stayed after practice to perfect her skills. Every time she stepped up to the plate, she was confident she could get a hit because of all her effort. Today, when it was her turn to bat in the last inning, her team was tied with the other team. She stepped up to the plate, putting all nerves aside, and focused on hitting the ball. She swung at the first pitch and missed, but she didn’t let it rattle her. The second pitch came and she struck the ball right out of the park. She won the game for her team!

In this activity, you and your child will discuss differing points of view on a topic.
Materials / Preparation
- Pen or Pencil
- Piece of Paper
Warm Up
- Choose a topic on which you and your child have differing opinions.
- Have your child conduct an Interview with you about how you feel about this topic.
Some example topics might be:
- Eating vegetables
- The appropriate age to get a driver’s license
- The best way to spend a free afternoon
- Favorite kinds of music

Learning-by-Teaching Step
After the interview, have your child write a short paragraph about how they feel about the topic. Ask them to include how their feelings differ from your feelings.
Eighth Grade
In this activity, you and your child will explore the importance of proper comma placement.
Materials / Preparation
- Pen or Pencil
- Piece of Paper
Warm Up
- Together, read the pairs of sentences below.
- Discuss how the meaning changes when a comma is present or absent.
- We went to the park with our dogs, Grandma, and Grandpa.
- We went to the park with our dogs, Grandma and Grandpa.
- Highlights of the documentary included interviews with President Obama, a lion tamer, and a 100-year-old rabbi.
- Highlights of the documentary included interviews with President Obama, a lion tamer and a 100-year-old rabbi.
- My favorite things are cooking, my dogs, and my cats.
- My favorite things are cooking my dogs and my cats.
- Most of the time, travelers don’t want to be late.
- Most of the time travelers don’t want to be late.

Learning-by-Teaching Step
- Together, choose one of the sentence pairs from the above list.
- Ask your child to explain how the punctuation changes the meanings of the sentences.
In this activity, you and your child will practice writing an argumentative essay.
Materials / Preparation
- Pen or Pencil
- Piece of Paper
Warm Up
- Ask your child to choose a topic or issue that they would like to see change at home, at school, or among your friends.
- Discuss the issue together.
Some possible topics might be:
- Should all school sports be coed?
- Should you get more or less screen time?
- Should you go to school more or less?
- Should you have more or fewer responsibilities at home?
- Should students wear uniforms to school?

Learning-by-Teaching Step
- Ask your child to write a paragraph trying to persuade someone to make this change.
- Remind them to include a clear topic sentence that explains their argument and three strong pieces of evidence that support your argument.
- When they are finished, have them read the paragraph to you.
- Discuss if their argument changed your thinking.